Finanční expert Ondřej Záruba rozvířil hladinu insolvenčního řízení. Podle dokumentu doručeného soudu 14. listopadu 2025 požaduje zrušení oddlužení Mikea Oganesjana, kterého obviňuje ze zatajování příjmů, nepoctivého záměru a odklánění peněz přes nastrčené osoby. Záruba jde ještě dál — žádá, aby byl osobní bankrot okamžitě ukončen a celý případ předán policii pro podezření z trestného činu poškození věřitele. Co přesně zjistil? A jak může jeho návrh ovlivnit osud celého řízení?

oznamovatel

Finanční expert Ondřej Záruba zaslal na Krajský soud v Praze podání, které vyvolalo výrazný ohlas. Dokument doručený soudu dne 14. listopadu 2025 ve 13:07 obsahuje návrh na zrušení již schváleného oddlužení dlužníka Mikea (Mikaela) Oganesjana a současně žádost o postoupení celé věci orgánům činným v trestním řízení.

Zaruba vs. Mike Oganesjan

Záruba ve svém čtyřstránkovém podání tvrdí, že dlužník dlouhodobě zatajuje skutečné příjmy, odvádí je přes třetí osoby a porušuje povinnosti v oddlužení, což může naplňovat i skutkovou podstatu trestného činu poškození věřitele (§ 222 trestního zákoníku).  

Zárubovo obvinění: utajené příjmy, nastrčené osoby, nepoctivý záměr 

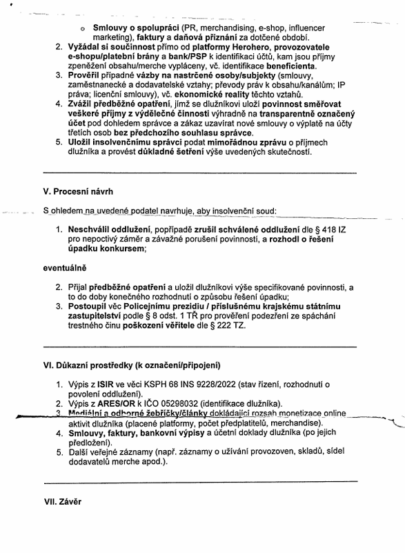
Podle dokumentu upozorňuje Ondřej Záruba soud na „důvodné podezření, že dlužník dlouhodobě a soustavně zastírá skutečné příjmy a odvádí je prostřednictvím nastrčených osob a subjektů“. Tvrdí, že Oganesjan: 

  • intenzivně monetizuje online obsah (zejména přes platformu HeroHero),

  • provozuje komerční aktivity pod značkou Arrogant Family,

  • významné měsíční příjmy, které ale nejsou v oddlužení přiznávány.


Záruba zároveň uvádí, že existuje podezření, že značná část příjmů je inkasována přes třetí osoby či obchodní společnosti, což podle jeho názoru naplňuje znaky porušení povinností podle § 395, § 412 a § 418 insolvenčního zákona.
Zaruba vs. Mike Oganesjan


Návrh: okamžitě ukončit osobní bankrot a předat věc policii
 
Ve svém podání Záruba žádá soud, aby:
 
  1. Zrušil schválené oddlužení pro nepoctivý záměr nebo hrubé porušení povinností,

  2. Vyhlásil konkurz,

  3. Postoupil věc Policii ČR či státnímu zastupitelství k prověření možného trestného činu poškození věřitele. 
    Zaruba vs. Mike Oganesjan


Opírá se mimo jiné o tvrzení, že Oganesjan má příjmy z placeného obsahu, obchodní spolupráce, merche, e-shopu a dalších aktivit, které podle něj nejsou transparentně vykazovány.
 
 
Požadovaná opatření: smlouvy, výpisy, daně i dohled nad všemi účty
 
Záruba dále navrhuje, aby insolvenční správce neprodleně vyžádal:
 
  • bankovní výpisy,

  • kompletní účetní doklady,

  • smlouvy o spolupráci,

  • faktury a daňová přiznání,

  • informace přímo od platformy HeroHero a provozovatelů platebních bran. 
    Zaruba vs. Mike Oganesjan


Nechybí ani návrh na předběžné opatření, které by Oganesjanovi zakázalo nakládat s výdělky přes třetí osoby a přikázalo směřovat veškeré příjmy výhradně na transparentní účet pod dohledem správce.


„Dlužník neplní poctivě své povinnosti“

V závěru dokumentu Záruba uvádí, že dostupné indicie podle něj „odůvodňují závěr, že dlužník v průběhu insolvenčního řízení neplní poctivě své povinnosti a zatajováním či odkláněním příjmů krátí uspokojení věřitelů“.

Proto žádá soud o zahájení ukončení oddlužení a výslovně uvádí, že podání činí „ve veřejném zájmu“.

Příloha je z ISIR
 

Prohřešky, které si zaslouží článek, můžete hlásit na anticorruptionhotline.com nebo na protikorupcnilinka.cz.